
1 กรกฎาคม 2565 โควิด “โอมิครอน” สายพันธุ์ย่อย BA.4 และ BA.5 น่ากังวล ล่าสุด “หมอธีระ” รศ.นพ.ธีระ วรธนารัตน์ คณะแพทยศาสตร์ จุฬาลงกรณ์มหาวิทยาลัย โพสต์ผ่านเพจเฟซบุ๊ก “Thira Woratanarat” ตอบข้อสงสัยหาก ติดโควิด กักตัว 5 วัน ตามมาตการของ กระทรวงสาธารณสุข (สธ.) และ ศูนย์บริหารสถานการณ์โควิด-19 หรือ ศบค. เพียงพอหรือไม่ มีรายละเอียดดังนี้
1 กรกฎาคม 2565 เมื่อวานทั่วโลกติด โควิด เพิ่ม 672,957 คน ตายเพิ่ม 1,175 คน รวมแล้วติดไป 552,430,830 คน เสียชีวิตรวม 6,357,410 คน
5 อันดับแรกที่ติดเชื้อ โควิด สูงสุดคือ ฝรั่งเศส อิตาลี บราซิล สหรัฐอเมริกา และไต้หวัน
เมื่อวานนี้จำนวนติดเชื้อใหม่มีประเทศจากยุโรปและเอเชียครอง 6 ใน 10 อันดับแรก และ 14 ใน 20 อันดับแรกของโลก จำนวนติดเชื้อใหม่ในแต่ละวันของทั่วโลกตอนนี้ มาจากทวีปเอเชียและยุโรป รวมกันคิดเป็นร้อยละ 66.71 ของทั้งโลก ในขณะที่จำนวนการเสียชีวิตคิดเป็นร้อยละ 47.65
สถานการณ์ระบาดของไทย
จากข้อมูล Worldometer เช้านี้พบว่า จำนวนเสียชีวิตเมื่อวาน สูงเป็นอันดับ 17 ของโลก และอันดับ 3 ของเอเชีย แม้สธ.ไทยจะปรับระบบรายงานตั้งแต่ 1 พ.ค.จนทำให้จำนวนที่รายงานนั้นลดลงไปมากก็ตาม
บันทึกวันแรกของการเป็นแดนดงโรค (endemic area)
1 ก.ค. 2565 วันแรกของการเป็น "แดนดงโรค"โควิด หรือ"พื้นที่โรคชุกชุม" โดยอยู่ในสถานการณ์ที่ยังไม่สามารถป้องกันการแพร่ระบาดได้อย่างมีประสิทธิภาพ ระบาดกระจายต่อเนื่อง
หน่วยงานบอกว่าพอ หมอพอ เตียงพอ ยาพอ...คงคล้ายกับคำว่า "เอาอยู่" ในขณะที่ประชาชนที่ให้ความใส่ใจสุขภาพ มุ่งหวังที่จะมีสวัสดิภาพและความปลอดภัยในชีวิต จำเป็นต้องหาทางเอาตัวรอด ให้อยู่รอดปลอดภัย ท่ามกลางสภาพแวดล้อมทางนโยบายและสังคมที่มีความเสี่ยงต่อการติดเชื้อแพร่เชื้อสูง
ติดเชื้อโควิด แล้วกักตัว 5 วันตามแนวทางที่กำหนด จะปลอดภัยไหม?
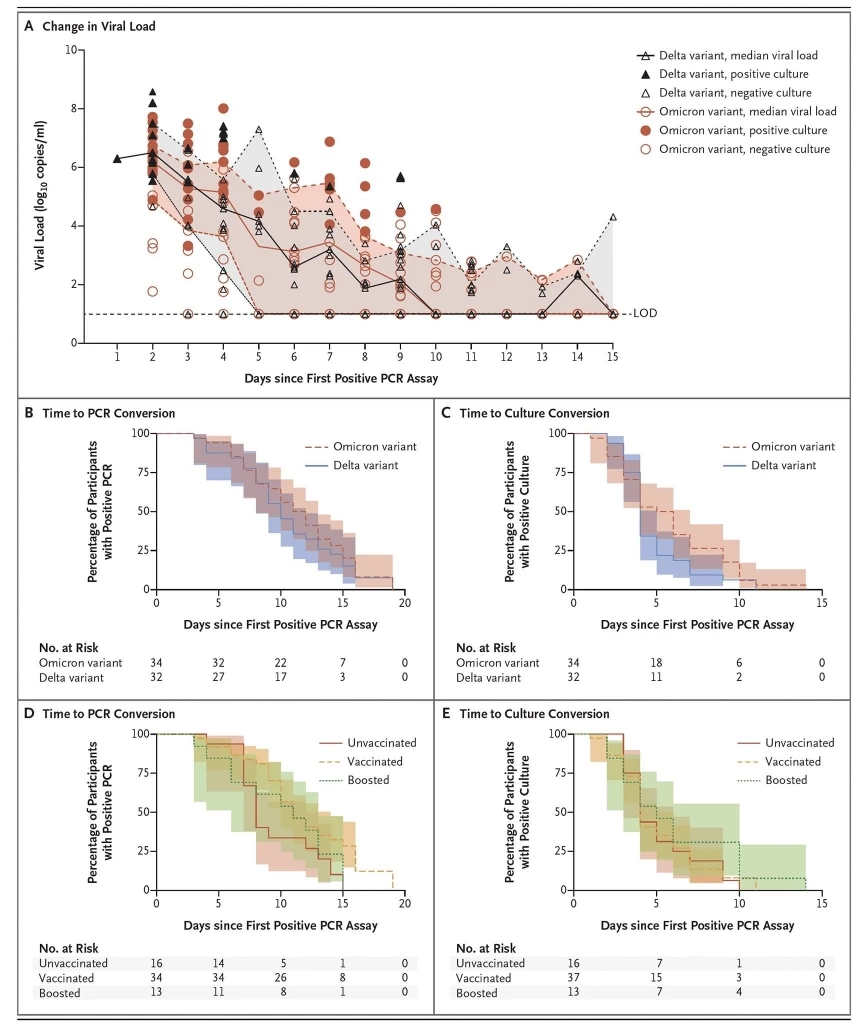
ล่าสุดมีงานวิจัยที่เผยแพร่ในวารสารทางการแพทย์ New England Journal of Medicine เมื่อ 29 มิถุนายน 2565 ที่ผ่านมา ได้ให้ข้อมูลสำคัญเกี่ยวกับระยะเวลาที่ยังตรวจพบเชื้อ ปริมาณเชื้อ และเพาะเชื้อขึ้น หลังจากติดเชื้อโรคโควิด-19
จากข้อมูลวิจัยจะเห็นได้ว่า การกักตัว 5 วันหลังการติดเชื้อนั้น ไม่เพียงพอ อย่างแน่นอน และยังไม่ปลอดภัย เนื่องจากยังสามารถเพาะเชื้อได้ถึงอีกเกือบ 50% และยังมีปริมาณไวรัสที่ตรวจพบระดับสูง
ถ้าจะปลอดภัย ตามข้อมูลเรื่องปริมาณเชื้อ และอัตราการเพาะเชื้อขึ้น คือราว 2 สัปดาห์หรืออย่างน้อย 10 วันขึ้นไป แต่ในทางปฏิบัติจะทำได้ยากด้วยความจำเป็นด้านเศรษฐกิจ แรงงาน และการใช้ชีวิตในสังคม ดังนั้น หากผู้ที่ติดเชื้อจำเป็นต้องกลับไปใช้ชีวิตหรือทำงานก่อนเวลา 7-10 วัน ก็ต้องตระหนักเสมอว่าอาจนำเชื้อไปแพร่ให้คนอื่นได้
“ ควรป้องกันตัวเข้มๆ ระหว่างการใช้ชีวิตประจำวันต่อจนกว่าจะครบ 2 สัปดาห์ เพื่อจะได้ลดความเสี่ยงในการแพร่เชื้อ โดยใส่หน้ากาก N95 หรือเทียบเท่า ไม่ถอดหน้ากากเวลาพบปะ ทำงาน หรือพูดคุยกับผู้อื่น รักษาระยะห่าง และที่สำคัญมากคือ ไม่ไปร่วมวงกินข้าวในที่ทำงาน ไม่ไปร่วมวงปาร์ตี้กินดื่มสังสรรค์ หรือกิจกรรมที่เสี่ยงต่อการแพร่เชื้อแก่ผู้อื่น ”
หมอธีระ ย้ำอีกว่า หากช่วยกันปฏิบัติดังที่กล่าวมาข้างต้น ก็จะช่วยลดโอกาสติดเชื้อแพร่เชื้อตามสถานที่ต่างๆ ท่ามกลางสถานการณ์ระบาดปัจจุบันได้บ้างไม่มากก็น้อย
...ณ จุดนี้ ยังยืนยันว่า “การใส่หน้ากากเสมอเวลาตะลอนนอกบ้าน” เป็นเรื่องที่จำเป็นอย่างยิ่ง โควิด ไม่จบแค่ชิลๆ แล้วหาย แต่ป่วยได้ ตายได้ และเสี่ยงต่อภาวะผิดปกติระยะยาวอย่าง Long COVID